1. Что такое температура
Температура — фундаментальная физическая величина, характеризующая:
- степень нагретости тела;
- среднее значение кинетической энергии хаотического движения частиц (атомов, молекул, ионов);
- направление самопроизвольного теплообмена между телами.
Ключевые свойства:
- Температура — скалярная величина (не имеет направления).
- Определяет равновесное состояние термодинамической системы.
- При контакте тел с разной температурой энергия переходит от более нагретого к менее нагретому до выравнивания температур.
2. Единицы измерения температуры
В Международной системе единиц (СИ) приняты следующие единицы:
- Кельвин (К) — основная единица термодинамической температуры:
- отсчитывается от абсолютного нуля (теоретического минимума температуры);
- используется в научных расчётах и метрологии;
- размер единицы совпадает с градусом Цельсия.
- Градус Цельсия (°C) — наиболее распространённая бытовая единица:
- 0 °C — температура замерзания воды при нормальном давлении;
- 100 °C — температура кипения воды при нормальном давлении.
- Градус Фаренгейта (°F) — используется преимущественно в США:
- 32 °F — точка замерзания воды;
- 212 °F — точка кипения воды.
3. Связь между единицами измерения
Формулы для перевода:
4. Температурные шкалы: принцип построения
Температурная шкала — система числовых значений, приписанных определённым состояниям термодинамического равновесия.
Принцип построения (на примере эмпирических шкал):
- Выбор реперных точек — чётко фиксированных состояний (например, фазовые переходы воды).
- Присвоение реперным точкам числовых значений.
- Деление интервала между точками на равные части (градусы).
- Использование термометрического свойства (объём, давление, электрическое сопротивление), линейно зависящего от температуры.
Основные шкалы:
- Цельсия (°C): 0 °C (замерзание воды) и 100 °C (кипение воды).
- Фаренгейта (°F): 32 °F (замерзание) и 212 °F (кипение).
- Кельвина (К): абсолютный нуль (0 К) как начальная точка.
5. Термодинамическая шкала температур
Термодинамическая (абсолютная) температура — единственная функция состояния, определяющая направление теплообмена и не зависящая от свойств термометрического вещества.
Ключевые особенности:
- Отсчитывается от абсолютного нуля — состояния, при котором прекращается тепловое движение частиц.
- Не может быть отрицательной в классическом понимании.
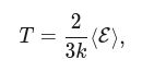
- Связана со средней кинетической энергией частиц:
где — постоянная Больцмана, — средняя кинетическая энергия.
Способы построения:
- Через идеальный тепловой двигатель — на основе количества теплоты в изотермических процессах.
- С использованием идеального газа — линейная зависимость давления от температуры при постоянном объёме.
Абсолютный нуль (0 К):
- Теоретически недостижим (третий закон термодинамики).
- Соответствует −273,15 °C.
6. Практическое значение температурных шкал
- Наука. Термодинамическая шкала — основа физических расчётов.
- Медицина. Точность измерений критична для диагностики и лечения.
- Промышленность. Контроль температуры в металлургии, химической промышленности, энергетике.
- Климатология. Мониторинг глобальных изменений температуры.
- Быт. Комфортное проживание, приготовление пищи, хранение продуктов.
Температура — ключевая характеристика состояния вещества, определяющая его энергетические свойства и поведение. Разнообразие температурных шкал отражает потребности разных сфер деятельности:
- Кельвин — для фундаментальной науки;
- Цельсий — для повседневной жизни;
- Фаренгейт — для региональных стандартов.
Понимание принципов построения шкал и связи между единицами позволяет корректно интерпретировать температурные данные в любых областях знаний.

