Метод переменного перепада давления — один из наиболее распространённых способов измерения расхода жидкостей, газов и паров в промышленных трубопроводах. Его основа — использование сужающих устройств (СУ), создающих локальное сопротивление потоку и тем самым формирующих измеримый перепад давления.
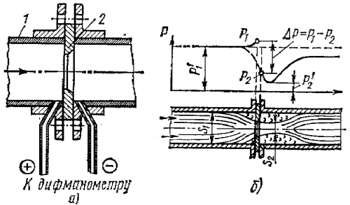
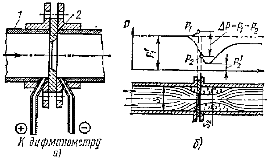
а — диафрагма; 1 — трубопровод, 2 — сужающее устройство (диафрагма);
б — распределение давления у сужающего устройства: P₁′ — давление в сечении S₁; P₁ — давление перед диафрагмой, P₂′ — давление в сечении S₂; P₂ — давление после диафрагмы; ΔP — перепад давления на диафрагме
Физический принцип
При прохождении потока через сужение:
- скорость потока возрастает (согласно закону сохранения массы);
- статическое давление падает (по уравнению Бернулли);
- разность давлений до и после сужения (перепад давления) пропорциональна квадрату расхода.
Таким образом, измеряя перепад давления, можно рассчитать расход среды.
Основные элементы системы измерения
- Сужающее устройство (СУ) — первичный преобразователь:
- диафрагма;
- сопло;
- труба Вентури и др.
- Датчики давления — измеряют давление до и после СУ.
- Дифференциальный манометр — фиксирует перепад давления.
- Вычислитель расхода — обрабатывает сигнал и рассчитывает расход.
Основные расчётные формулы
1. Объёмный расход (при рабочих условиях)
где:
- — объёмный расход, м³/с;
- — диаметр отверстия СУ, м;
- — коэффициент расхода (зависит от типа СУ и числа Рейнольдса);
- — коэффициент расширения (для газов и паров);
- — перепад давления на СУ, Па;
- — плотность среды при рабочих условиях, кг/м³.
2. Массовый расход
где:
- — массовый расход, кг/с;
- остальные обозначения — как выше.
3. Приведённый объёмный расход (при стандартных условиях)
Для газов часто требуется пересчёт к стандартным условиям (обычно 20 °C и 1 атм):
где:
- — объёмный расход при стандартных условиях, м³/ч;
- , — давление и температура при рабочих условиях;
- , — стандартные давление и температура;
- , — коэффициенты сжимаемости при рабочих и стандартных условиях.
Коэффициенты и поправки
- Коэффициент расхода ()
Учитывает:- потери на трение;
- форму СУ;
- число Рейнольдса потока.
Определяется экспериментально и нормируется в стандартах (например, ГОСТ 8.586).
- Коэффициент расширения ()
Корректирует влияние сжимаемости газа. Для жидкостей . Для газов зависит от:- отношения давлений;
- показателя адиабаты;
- конструкции СУ.
- Поправка на температуру и давление
Необходима для точного расчёта плотности и коэффициента сжимаемости .
Преимущества метода
- Универсальность — подходит для жидкостей, газов, паров.
- Надёжность — СУ не имеют движущихся частей.
- Стандартизация — методики расчёта нормированы (ГОСТ, ISO).
- Простота обслуживания — СУ легко заменять и поверять.
Ограничения и погрешности
- Зависимость от числа Рейнольдса — точность падает при малых расходах.
- Чувствительность к состоянию СУ — износ или загрязнение меняют .
- Требования к прямолинейным участкам — необходимы прямые отрезки трубы до и после СУ для стабилизации потока.
- Погрешность — обычно 1–3 % при соблюдении условий монтажа.
Практические рекомендации
- Выбор СУ
- для чистых сред — диафрагма;
- для абразивных сред — сопло или труба Вентури;
- для малых расходов — специальные СУ с низким .
- Монтаж
- обеспечить требуемые длины прямых участков (обычно 10–20 диаметров трубы до СУ и 5–10 после);
- исключить перекосы и деформации трубопровода;
- установить датчики давления в правильных точках.
- Эксплуатация
- регулярно проверять состояние СУ;
- контролировать герметичность импульсных линий;
- проводить периодическую поверку.
Заключение
Метод переменного перепада давления остаётся одним из базовых в промышленной метрологии благодаря сочетанию простоты, надёжности и достаточной точности. Ключевое условие его эффективной работы — строгое соблюдение требований к монтажу, калибровке и эксплуатации, а также корректный учёт физико‑химических свойств измеряемой среды.




